Elaboración de un índice de medición de competencias de la gestión gerencial del personal director de la Defensoría de los Habitantes de la República, Costa Rica, 2023

Elaboration of an index to measure the competencies of the managerial management of the director personnel of the Office of the Ombusdman of Republic of the Costa Rica, 2023

DOI: 10.22458/rna.v14i2.4862

José Fulvio Sandoval-Vásquez 1 ORCID

Giovanni Barboza Ramírez 2 ORCID

1.Defensoría de los Habitantes, Dirección de Estudios Económicos y Desarrollo de la República, San José, Costa Rica, jfsandoval@dhr.go.cr

2.Defensoría de los Habitantes, Dirección de Estudios Económicos y Desar-rollo, Unidad de Planificación Institucional, San José, Costa Rica, gbarboza@dhr.go.cr

Recepción: 14 de junio de 2023

Revisión: 09 de octubre de 2023

Aceptación: 25 de octubre de 2023

RESUMEN

Este artículo presenta los resultados iniciales de la elaboración de un índice para evaluar las competencias gerenciales de directores en áreas de defensa de la Defensoría de los Habitantes de Costa Rica en 2023. Se centra en liderazgo, trabajo en equipo, comunicación, previsión y resolución de problemas con una escala Likert. Cada variable se desglosa en dimensiones e indicadores. Con énfasis en la claridad y coherencia de las preguntas, busca ser una herramienta integral para una evaluación objetiva y rigurosa. Basado en revisión bibliográfica y consultas con expertos, la siguiente etapa implica una prueba piloto para verificar su fiabilidad con pruebas estadísticas como el coeficiente Alfa de Cronbach y diferentes tipos de validez.

ABSTRACT

This article presents the initial outcomes of developing an index to assess managerial competencies of directors within the defense areas of the Office of the Ombudsman in Costa Rica for 2023. It focuses on leadership, teamwork, communication, foresight, and problem-solving using a Likert scale. Each variable is broken down into dimensions and indicators. Emphasizing question clarity and coherence, it aims to be a comprehensive tool for an objective and rigorous assessment. Based on literature review and expert consultations, the subsequent phase involves a pilot test to verify its reliability using statistical tests such as Cronbach's Alpha coefficient and various types of validity.

RÉSUMÉ

Cet article présente les premiers résultats de l'élaboration d'un indice permettant d'évaluer les compétences managériales des directeurs des zones de défense du Bureau du médiateur au Costa Rica pour 2023. Il se concentre sur le leadership, le travail d'équipe, la communication, la prévoyance et la résolution de problèmes à l'aide d'une échelle de Likert. Chaque variable est décomposée en dimensions et en indicateurs. Mettant l'accent sur la clarté et la cohérence des questions, il se veut un outil complet pour une évaluation objective et rigoureuse. Sur la base d'une analyse documentaire et de consultations d'experts, la phase suivante comprend un essai pilote visant à vérifier sa fiabilité à l'aide de tests statistiques tels que le coefficient Alpha de Cronbach et divers types de validité.

RESUMO

Este artigo apresenta os resultados iniciais do desenvolvimento de um índice para avaliar as competências gerenciais dos diretores das áreas de defesa da Defensoria Pública da Costa Rica para 2023. Ele se concentra em liderança, trabalho em equipe, comunicação, previsão e solução de problemas usando uma escala Likert. Cada variável é dividida em dimensões e indicadores. Enfatizando a clareza e a coerência das perguntas, o objetivo é ser uma ferramenta abrangente para uma avaliação objetiva e rigorosa. Com base na revisão da literatura e em consultas a especialistas, a fase subsequente envolve um teste piloto para verificar sua confiabilidade usando testes estatísticos, como o coeficiente Alfa de Cronbach, e vários tipos de validade.

PALABRAS CLAVE:
TOMA DE DECISIONES, RECURSOS HUMANOS, ADMINISTRACIÓN PÚBLICA, INDICADORES DE GESTIÓN, CLIMA LABORAL.

KEYSWORS:
DECISION MAKING, HUMAN RESOURCES, PUBLIC ADMINISTRATION, MANAGEMENT INDICATORS, WORK ENVIRONMENT.

MOTS CLÉS:
ADMINISTRATION PUBLIQUE, INDICATEURS DE GESTION, ENVIRONNEMENT DE TRAVAIL, PRISE DE DÉCISION, RESSOURCES HUMAINES.

PALAVRAS CHAVE:
TOMADA DE DECISÕES, RECURSOS HUMANOS, ADMINISTRAÇÃO PÚBLICA, INDICADORES DE GESTÃO, AMBIENTE DE TRABALH

INTRODUCCIÓN

En la toma de decisiones y en el fortalecimiento del recurso humano que labora en las instituciones de la administración pública se demanda cada vez más instrumentos innovadores que evalúen las competencias de las personas que tienen a su cargo la dirección y la administración del personal profesional, esto con el fin de fortalecer la gobernanza institucional y coadyuvar en la calidad del servicio público que las entidades prestan a la población.

Así, contar con indicadores de gestión permite conocer si se gestionan correctamente las acciones institucionales y de este análisis se puede determinar en qué medida la institución cumple con los objetivos para lo que fue creada y con la política pública que debe ejecutar. Además de facilitar la toma de decisiones, los indicadores de gestión permiten conocer los puntos débiles y fuertes de la organización para que la administración superior pueda actuar y corregir los primeros y potenciar los segundos.

Por esto, la construcción de un índice que integre aspectos cuantitativos y cualitativos de las competencias gerenciales del personal director de la Defensoría de los Habitantes de la República (DHR), desde la óptica del personal profesional subordinado, permite retroalimentar en un enfoque sistémico la labor institucional y orientar tanto las acciones de capacitación del personal director en beneficio de las personas trabajadoras de la institución como en el buen desempeño institucional.

Problema

Actualmente, la Defensoría de los Habitantes no cuenta con instrumentos de medición y evaluación del desempeño del personal gerencial o director desde la perspectiva del funcionariado. Si bien, la jerarquía institucional evalúa a las personas directoras con un instrumento diseñado por la Dirección Administrativa, lo hace desde la óptica de la persona jerarca institucional y no considera la opinión del personal profesional subordinado.

Al respecto, no se conoce cómo percibe el funcionariado la dirección y el acompañamiento de la persona directora al quehacer de las áreas de defensa1. Debido a esta situación, se presentan diversos vacíos de información que limitan el diseño e implementación de planes de mejora en la labor institucional y, específicamente, para favorecer el clima laboral, en particular sobre las expectativas del funcionariado en cuanto al personal director en los procesos de defensa de la población en que las personas profesionales están inmersas.

Considerando esta carencia, las interrogantes que orientan esta propuesta son las siguientes: ¿Cuáles son las competencias gerenciales necesarias en el personal director de la DHR para una buena conducción del personal en la defensa de los derechos e intereses de los habitantes?; ¿Cómo se pueden definir e instrumentalizar las competencias gerenciales que debería tener el personal director en la Defensoría?; ¿Qué indicadores o variables podrían conformar un índice que permita medir y evaluar las competencias gerenciales del personal director de la DHR?

Las diversas interrogantes identificadas orientan el curso de esta propuesta y que se sistematiza en el siguiente problema de investigación:

¿Cuáles son las variables, dimensiones e indicadores pertinentes en el diseño y elaboración de un índice que brinde información sobre la capacidad y competencias gerenciales del personal director de la Defensoría de los Habitantes de la República desde el punto de vista del personal profesional subordinado?

El objetivo general planteado en la investigación fue el siguiente:

Elaborar un índice de medición y evaluación de las competencias gerenciales del personal director de la Defensoría de los Habitantes de la República (DHR), desde la perspectiva del personal profesional subordinado, para que la administración superior disponga de una evaluación integral y objetiva del desempeño directivo.

Como objetivos específicos se propuso lograr los siguientes:

  • Identificar las competencias gerenciales requeridas por el personal director de las áreas de defensa en la DHR.
  • Determinar las conceptualizaciones de las competencias gerenciales según las ciencias de la administración y los requerimientos del manual de clasificación de puestos de la DHR.
  • Construir un índice que integre variables y dimensiones confiables de medición de las competencias gerenciales requeridas en el personal director de la DHR, desde la perspectiva del personal profesional subordinado.

Como se indicó, en la gerencia moderna es necesario disponer de mecanismos de medición especializados basados en la evidencia empírica que permitan dilucidar las áreas de desempeño y de las competencias que requieren mejoría en el personal director, en este caso, con el propósito de lograr una labor óptima de la defensa de los derechos e intereses de los habitantes de la República.

Por lo anterior, es necesario generar nuevas herramientas gerenciales en la administración pública que brinden información sobre los aspectos en los que se puede fortalecer la labor institucional en beneficio de la población a la que se sirve. La información basada en la evidencia empírica puede ser una fuente valiosa para fundamentar las estrategias de mejoramiento de la gestión de la DHR.

Por tanto, el presente trabajo posee un alcance explicativo mediante el cual se desarrolla una herramienta que permite medir las competencias gerenciales en las personas directoras de la DHR, no solo en un campo específico, sino en la gestión administrativa en general. Además, provee información oportuna para la toma de decisiones en políticas institucionales, proyectos de capacitación, mejoramiento del clima laboral, entre otros aspectos.

En el desarrollo de la propuesta del índice se implementó una metodología que combinó la revisión bibliográfica especializada con la colaboración de un panel de expertos compuesto por el personal profesional de la dirección de planificación de la institución. Asimismo, se empleó la escala Likert para diseñar ítems específicos que evaluaron dimensiones como liderazgo, trabajo en equipo, comunicación, previsión y resolución de problemas. Cada dimensión se desglosó en indicadores pertinentes para capturar las competencias gerenciales esenciales. Este enfoque, apoyado en la experiencia directiva interna, proporciona una herramienta integral y precisa para la evaluación del desempeño directivo.

A su vez, este trabajo constituye la fase inicial en el desarrollo del índice propuesto. La siguiente etapa involucra la aplicación de este instrumento en una prueba piloto, utilizando una muestra representativa. De igual forma, esta prueba tiene como objetivo depurar estadísticamente el instrumento, validando su fiabilidad y precisión antes de su implementación completa.

DESARROLLO

En este apartado se hace la revisión teórica relacionada con las competencias gerenciales para conceptualizar cada una de las dimensiones de la gestión gerencial para una institución pública cuya función no pertenece a la administración activa, sino que corresponde a un órgano de control y supervisión.

Competencias gerenciales

Las competencias gerenciales se pueden definir como las habilidades, capacidades, destrezas, conocimientos y saberes que emplean las personas para desempeñar un cargo en la organización2. Las competencias que deben poseer las personas a nivel de gerencia y en cualquier tipo de organización, son las siguientes3:

  • Dirección de personas: Capacidad de comunicar a los demás lo que es necesario hacer, y lograr que cumplan con ese propósito, teniendo en mente el bien de la organización a largo plazo.
  • Liderazgo: Capacidad para influir en la actuación de un individuo, grupo o equipo.
  • Gestión del cambio y desarrollo de la organización: Capacidad para manejar el cambio para asegurar la competitividad y efectividad a un largo plazo.

Por su parte, otros autores4 clasifican las competencias gerenciales en cuatro grupos:

  • Desarrollo de personas: Capacidad de la gerencia para formación y crecimiento del talento humano.
  • Dirección de personas: Delegar funciones para el logro de los objetivos de manera eficiente.
  • Trabajo en equipo y cooperación: Capacidad de trabajar y hacer que los demás trabajen.
  • Liderazgo: Motivación continua al personal en su desempeño laboral.

Para los fines de la investigación, además de lo indicado, se adaptaron los elementos expuestos en la clasificación de competencias gerenciales deseables presentadas por el Instituto Internacional de Planeamiento de la Educación (IIPE)5 de Argentina.

Además de los aspectos definidos en el Manual de Clasificación de Puestos de la Defensoría de los Habitantes6. En este segundo documento se establecen las tareas y funciones que debe desarrollar la persona directora en cada área de trabajo de la Institución.

El IIPE reúne en ocho aspectos las competencias que demanda la gerencia estratégica moderna: liderazgo, trabajo en equipo, comunicación, participación, delegación, negociación, resolución de problemas y anticipación, según se muestra en la figura 1.

Figura 1. Competencias necesarias en la gerencia estratégica moderna

Fuente: Tomado de IIPE (2000, p. 31).

Ahora bien, en el Manual de Clasificación de Puestos para el personal director de la DHR se establecen las responsabilidades de la toma de decisiones en el área de la especialidad y la planificación del trabajo a desarrollar por el equipo profesional que gerencia, de acuerdo con la autoridad otorgada en su contratación. De esta forma, la naturaleza del trabajo de la persona directora consiste en la “ejecución de labores de investigación, análisis y desarrollo de casos o situaciones de mucha complejidad relacionados con la defensa de los derechos e intereses de los habitantes7”.

Para cumplir con sus funciones, la persona directora debe contar con una licenciatura en una carrera universitaria afín al puesto, tres años de experiencia en labores profesionales relacionadas con el puesto, tres años de experiencia en supervisión de personal y estar incorporada al Colegio Profesional respectivo. Las tareas típicas que debe ejecutar son las siguientes :8

  • Planificar, organizar, coordinar y supervisar las labores relacionadas con la defensa de los derechos e intereses de los habitantes de aquellos funcionarios que le sean asignados, así como de los profesionales que realicen consultorías en su campo y de un rango inferior al suyo.
  • Ejecutar labores de investigación, análisis y desarrollo de casos o situaciones de mucha complejidad relacionados con la defensa de los derechos e intereses de los habitantes.
  • Velar por la correcta aplicación de normas, leyes y reglamentos que rigen las diferentes actividades relacionadas con su labor y la del personal a su cargo.
  • Elaborar informes sobre los expedientes y/o temas que le han sido asignados.
  • Revisar los borradores de informes preparados por el personal a su cargo y emitir las correcciones y recomendaciones respectivas.
  • Orientar al personal a su cargo respecto a la metodología de trabajo, técnicas y procedimientos; y dar soluciones a problemas complejos que se presenten en el desarrollo de este.
  • Realizar funciones de coordinación y de enlace con otros organismos externos a la institución y unidades administrativas internas cuando se requiera para el cumplimiento de las labores propias de su área de trabajo.
  • Coordinar y revisar el informe anual de labores del personal a su cargo, previo a la aprobación del jefe inmediato o Director de Área.
  • Colaborar en la formulación, evaluación y seguimiento de los planes de trabajo de la Dirección para la cual trabaja.
  • Realizar las funciones administrativas que se le deleguen, tales como la supervisión y control de la asistencia y puntualidad de su equipo de trabajo.
  • Atender y resolver consultas que le presenten su superior, compañeros de trabajo y público en general; en aspectos relacionados con su labor.
  • Asistir a reuniones, seminarios y otras actividades similares; con el fin de conocer y tratar aspectos de interés para la gestión que realiza la Defensoría de los Habitantes, en pro de los derechos e intereses de los habitantes.
  • Ejercer un estricto control sobre los expedientes que tiene a cargo su grupo de trabajo y que se encuentran bajo su responsabilidad; mientras se encuentren pendientes de los plazos de respuesta y tramitación por parte de la institución pública involucrada.
  • Preparar y brindar charlas y conferencias, en los temas de su especialidad, al personal de la Institución o funcionarios de otras dependencias y público en general.
  • Realizar investigaciones de índole variada y efectuar análisis jurídicos necesarios para el estudio y resolución de los casos sometidos a su conocimiento.
  • Preparar y enviar documentos variados a las dependencias gubernamentales y a los usuarios involucrados en las denuncias que tramita y resuelve.
  • Coordinar y realizar inspecciones y giras cuando sea necesario.
  • Documentar adecuadamente los casos que tramita.
  • Sustituir a su superior en aquellas ocasiones que la situación así lo amerite.
  • Realizar otras labores propias de su cargo.

La propuesta realizada en el estudio se enmarca en el enfoque cuantitativo de investigación cuyo proceso abarca cuatro grandes etapas sucesivas, pero interdependientes, que corresponden al diseño del instrumento, trabajo de campo, análisis e interpretación y comunicación de resultados9. La propuesta realizada en el estudio corresponde al diseño del instrumento, por lo que quedan pendientes el trabajo de campo y la validación del índice para una segunda etapa.

DISEÑO METODOLÓGICO

Concepto de índice

Un número índice es una abstracción construida de una manera sintética a partir de elementos de un conjunto. Este sirve para observar y medir ciertas características de un fenómeno y su función es describir e indicar el comportamiento de este10. Asimismo, un índice sirve para integrar o sintetizar esa información con la finalidad de aproximarse a un valor único que exprese lo que ocurre con la variable en un contexto real. En suma, los índices son indicadores complejos que resumen un conjunto de indicadores11.

Los índices se clasifican en simples o complejos12. Estos últimos involucran ponderaciones para unificar una pluralidad de observaciones en un valor y realizar futuras comparaciones. Por lo tanto, el índice propuesto en este documento corresponde a un índice complejo, donde las diferentes variables que integran el índice general se consolidan en un solo indicador por medio de factores de ponderación.

El primer problema a considerar cuando se construye un índice para describir un determinado fenómeno es la selección de las variables que caracterizan el comportamiento del fenómeno y la forma como se medirá cada una de esas variables, si a través de uno o varios ítems13.

Asimismo, las variables pueden agruparse para describir diferentes dimensiones del fenómeno en estudio.

En este caso, el propósito del estudio es el diseño de un índice para medir y evaluar las competencias gerenciales consideradas oportunas para la persona directora en la DHR. Cada una de las competencias constituye una variable que es estudiada mediante una serie de dimensiones e indicadores que proporcionan información concreta sobre la gestión gerencial desde la óptica del funcionariado profesional subordinado.

En general, para efectos de la investigación, se conceptualizaron las competencias de profesionalización gerencial según lo establecido por el IIPE como la integración de conocimientos, habilidades, actitudes, destrezas y comportamientos que influyen de manera multidimensional en las acciones que realiza la persona directora en su gestión gerencial con el propósito de cumplir con la misión institucional14.

Variables del índice propuesto

En la investigación se determinó que el índice apropiado para el personal director de la DHR operacionaliza las competencias gerenciales en cinco variables: liderazgo, trabajo en equipo, comunicación, previsión y resolución de problemas. La figura 2 presenta la relación del índice general (IMCG) y cada una de las dimensiones consideradas.

Figura 2. Índice de Medición de Competencias Gerencias para el Personal director de la DHR y sus dimensiones

Fuente: Elaboración propia.

Las competencias de profesionalización indicadas miden el grado de compromiso y confianza de las personas directivas en los procesos de gestión y gerencia pública y con base en el IIPE se pueden definir de la siguiente forma15:

Liderazgo. Corresponde al conjunto de acciones que orientan a las personas y a los equipos en una determinada dirección hacia el logro de la excelencia y el aprendizaje organizacional, primordialmente por medios no coercitivos. Se vincula con la capacidad de generar acciones de sensibilización y convocatoria a trabajar en colaboración con otros, en el logro de los fines y los valores generalmente sepultados en el fárrago de las rutinas cotidianas.

Comunicación. Permite una doble apertura: hacia el entorno del sistema tanto para emitir como para recibir comunicaciones entre el personal de defensa y la persona directora. Hacia dentro del sistema, para fortalecer la integración con comunicaciones recíprocas en las que no solo todos pueden hablar con todos, sino que, además, todos pueden intercambiar los roles de hablantes y oyentes.

Resolución de problemas. Es un método que permite no solamente resolver un problema puntual (lo cual hace referencia a su propia eficiencia) sino que, también, deberá ser vista como una estrategia explícita que permite crear, adquirir y transferir nuevos conocimientos.

Trabajo en equipo. El trabajo en equipo es una modalidad de articular las actividades laborales de un grupo humano en torno a un conjunto de fines, de metas y de resultados a alcanzar. El trabajo en equipo implica una interdependencia activa entre los integrantes de un grupo que comparten y asumen una misión de trabajo.

Previsión. La prospectiva puede comprenderse como una mirada al futuro que se realiza para clarificar las acciones del presente. Se define como el panorama de los futuros posibles de un sistema destinado a clarificar las consecuencias de las acciones encaradas.

La metodología propuesta para calcular el índice no pretende establecer umbrales para los indicadores, pues lo que hace es comparar en materia de competencias de profesionalización de la gestión gerencial en las diferentes áreas de la labor institucional para poder tomar decisiones en relación con el desarrollo profesional y la planificación institucional.

La metodología propuesta para calcular el índice no pretende establecer umbrales para los indicadores, pues lo que hace es comparar en materia de competencias de profesionalización de la gestión gerencial en las diferentes áreas de la labor institucional para poder tomar decisiones en relación con el desarrollo profesional y la planificación institucional.

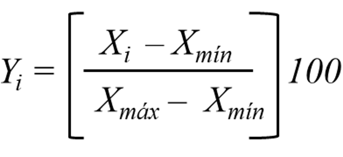
Para homogenizar y facilitar la integración de los ítems y variables que miden diferentes dimensiones del índice, se aplica una transformación o estandarización (escala 0 a 100) que, consiste en ajustar cada indicador de acuerdo con su naturaleza16. La fórmula para utilizar para normalizar los indicadores es la siguiente:

Donde Yi es el i-ésimo indicador seleccionado, Xmín y Xmáx son los valores mínimo y máximo respectivamente que puede alcanzar el indicador seleccionado y 100 es el factor de expansión para mayor facilidad de interpretación.

Si esta transformación se realiza para todos y cada uno de los indicadores que operacionaliza, el índice, según las diferentes dimensiones y variables, se dispone de puntajes directamente sumables para expresar el nivel de comportamiento relativo de los indicadores.

Una vez unificada la forma de medir y definir los índices para cada variable, todos los indicadores quedan en la escala de 0 a 100. Mientras más alto es el puntaje, se asume como mejor el nivel de cada índice en particular.

De esta forma, la construcción del índice general consiste en la suma ponderada de variables, expresando el valor más alto una mejor situación. Se asume que no todas las dimensiones tienen la misma importancia para la definición del índice. Por tanto, el índice gerencial queda expresado como muestra la siguiente ecuación:

IMCG = Ʃ(αj·Ij)

Las letras Ij y αj se refieren a la variable y al ponderador respectivo, el subíndice j corresponde a cada una de las variables. Aplicando este método se obtiene como resultado una sumatoria ponderada que como máximo tiene 100 puntos.

Para obtener las ponderaciones (αj) de las diferentes variables que componen el índice, según la teoría, se puede proceder de tres formas: con base en criterios subjetivos, conocimiento de jueces expertos y forma estadística por medio de la estructura y de la variación de los datos. Los ponderadores se obtienen a través del conocimiento de experto, producto de dos evaluaciones. No obstante, dichas ponderaciones deben ser revisadas mediante procedimientos estadísticos en la segunda etapa de implementación de este diseño, es decir, cuando se dispuso de la información, se realizó el cálculo y calibración del índice.

La técnica más utilizada es el análisis multivariado de componentes principales17 que permite reducir la cantidad de indicadores que posee el conjunto de datos de estudio. Además, sirve para determinar variabilidad de un conjunto de datos y ordenarlos por orden de importancia. Cada componente principal se puede resumir por una o más variables y, a su vez, cada componente posee porcentajes de variabilidad explicada diferenciados18.

Una vez disponible la información, se aplica el análisis de correlación lineal entre el valor final del índice con cada uno de los indicadores de las siete dimensiones establecidas. Este análisis permite determinar el tipo de relación lineal que poseen un par de variables de interés, e incorpora una aproximación de la fuerza o magnitud de esa relación lineal19.

Además, de la correlación lineal se puede calcular la matriz de varianzas y covarianzas, estadísticos que permiten determinar el grado de variación conjunta de dos variables en el estudio. Estos resultados determinan una ponderación proporcional a la estructura de correlación y de covarianza de cada dimensión con respecto al índice calculado20.

Formulación de las preguntas o ítems

Un ítem o reactivo es un enunciado o proposición que se escribe en forma interrogativa o afirmativa y que en conjunto conforma el cuestionario para la medición de las variables propuestas como competencias gerenciales. Cada una de las preguntas formuladas en la investigación corresponden tanto a la variable, la dimensión, así como al indicador seleccionado.

El instrumento o cuestionario está integrado por una serie de ítems en escala de Likert. La metodología de Likert corresponde a una escala de calificación que se utiliza para cuestionar a una persona sobre su nivel de acuerdo o desacuerdo con una declaración o proposición. Asimismo, se utiliza para medir reacciones, actitudes y comportamientos de una persona21. En este caso, cada ítem tiene el mismo número de alternativas de frecuencia del 1 al 5, donde 5 es muy frecuentemente; 4, frecuente; 3, ocasionalmente; 2, raramente, y 1 es nunca.

RESULTADOS Y DISCUSIÓN

El propósito de la investigación fue el diseño y elaboración de un índice adecuado para la medición de las competencias gerencial del personal director desde la perspectiva del personal profesional subordinado. En consulta con expertos de la dirección de planificación de la institución, se determinaron las siguientes ponderaciones para la integración de cada variable en el índice general en esta etapa inicial:

Previsión: 7 %
Liderazgo: 34 %
Comunicación: 21 %
Trabajo en equipo: 28 %
Resolución de conflictos: 10%

En la segunda etapa de la investigación se procederá a la implementación, en una prueba piloto, el índice de medición y evaluación de competencias gerenciales para determinar su validez y pertinencia del cuestionario diseñado, depurar los ítems y validar los ponderadores inicialmente asignadas. La tabla 1 presenta las variables, dimensiones, indicadores e ítems considerados en el cuestionario del diseño del Índice de medición.

Table 1. Índice de medición de competencias de la gestión gerencial del personal director de la Defensoría de los Habitantes de la República
Variable: Liderazgo
Dimensión Indicador Ítem Siempre Casi siempre Ocasionalmente Casi nunca Nunca
Gestión Administración La persona directora gestiona los recursos económicos y materiales requeridos por el personal en la labor de defensa y asignación de tareas.
Expeditez La persona directora explica de forma clara las funciones que debe realizar la persona profesional que va a asumir la tarea o expediente.
Coordinación Durante la jornada de trabajo, la persona directora dispone de espacios para coordinar con el equipo profesional la gestión de las tareas asignadas.
Perfiles La persona directora considera las competencias personales y profesionales del personal a su cargo para la asignación de expedientes y tareas.
Resultados La persona directora establece espacios para conversar con el personal profesional sobre los resultados de los expedientes que cierra y de las tareas asignadas.
Conocimiento Investigación La persona directora ejecuta labores de investigación de casos complejos relacionados con la defensa de los derechos e intereses de los habitantes.
Redacción La persona directora muestra habilidades de comunicación escrita.
Análisis La persona directora muestra habilidades para la interpretación de datos.
Competencias La persona directora demuestra que posee la formación requerida para desempeñar el puesto.
Vinculación La persona directora coordina acciones de vinculación con otros entes externos en apoyo de la labor del área de defensa.
Integración La persona directora toma en cuenta las competencias profesionales de cada funcionario(a) cuando debe conformar equipos de trabajo.
Compromiso Responsabilidad La persona directora fomenta la responsabilidad colectiva entre los miembros del equipo de trabajo en procura de alcanzar las metas planificadas.
Seguimiento La persona directora brinda seguimiento a las metas y prioridades conjuntas de la planificación anual operativa.

Fuente: Elaboración propia.

Variable: Comunicación
Dimensión Indicador Ítem Siempre Casi siempre Ocasionalmente Casi nunca Nunca
Apertura Consulta Durante la jornada laboral, la persona directora consulta a los profesionales sobre el desarrollo de los casos que tiene asignados.
Escucha Durante reuniones grupales o individuales la persona directora mantiene una escucha activa con las personas.
Confianza Durante el año de trabajo, la persona directora facilita espacios para generar confianza en la comunicación entre los miembros del equipo de trabajo.
Sinergia Empatía La persona directora muestra empatía con los miembros del grupo ante desacuerdos o dificultades surgidas en el trabajo.
Diálogo La persona directora promueve espacios de comunicación para atender desacuerdos.

Fuente: Elaboración propia.

Variable: Trabajo en equipo
Dimensión Indicador Ítem Siempre Casi siempre Ocasionalmente Casi nunca Nunca
Integración Orientación La persona directora realiza reuniones para atender las dificultades de colaboración del equipo de trabajo de forma constructiva.
Valores La persona directora contempla acciones orientadas a fortalecer en el equipo de trabajo los valores de solidaridad, responsabilidad e inclusión.
Debate La persona directora abre espacios de diálogo para sobreponerse ante la adversidad que pueden enfrentar en sus labores los equipos de trabajo.
Flexibilidad En eventos inesperados la persona directora se muestra flexible con el equipo de trabajo para atender lo acontecido.
Motivación Participación La persona directora promueve la participación de los profesionales a su cargo en proyectos y labores institucionales.
Reconocimiento La persona directora reconoce ante la comunidad institucional los logros alcanzados por los profesionales a su cargo y por los equipos de trabajo.
Incentivo La persona directora brinda seguimiento a los equipos de trabajo para animarlos en la búsqueda de nuevas formas de enfrentar las investigaciones y retos institucionales.

Fuente: Elaboración propia.

Variable: Resolución de conflictos
Dimensión Indicador Ítem Siempre Casi siempre Ocasionalmente Casi nunca Nunca
Holismo Visión La persona directora promueve una cultura organizacional capaz de ver los problemas como oportunidades para aprender y mejorar.
Identificación La persona directora identifica los posibles factores potenciales de problemas que impiden el buen desempeño del equipo de trabajo.
Percepción La persona directora percibe aquellas situaciones en que se presentan conflictos entre funcionarios de la dirección.
Estrategia Abordaje La persona directora cuando observa conflicto entre compañeros aborda la situación sin prejuicios y de forma transparente.
Solución LLa persona directora muestra capacidad para solucionar los problemas que se presentan entre funcionarios y equipos de trabajo.

Fuente: Elaboración propia.

Variable: Previsión
Dimensión Indicador Ítem Siempre Casi siempre Ocasionalmente Casi nunca Nunca
Riesgo Visión En las reuniones con el personal, la persona directora valora, con visión de futuro, los pros y contras de las propuestas del equipo de trabajo.
Identificación La persona directora identifica los posibles factores potenciales de problemas que impiden el buen desempeño del equipo de trabajo.
Percepción La persona directora genera espacios para la identificación de posibles amenazas futuras para el desarrollo de la dirección.
Estrategia Estrategia La persona directora planifica estrategias de trabajo para el año de labores.

Fuente: Elaboración propia.

En la prueba piloto, el instrumento se aplicará a una muestra representativa del personal profesional subordinado de la Defensoría de los Habitantes que consta de 140 funcionarios, evaluando a los 12 directores de las diversas áreas. Para esta etapa, se empleará un muestreo simple al azar, abarcando las siguientes direcciones: Dirección Administrativa, Dirección de Asuntos Jurídicos, Dirección de Igualdad y no Discriminación, Dirección de Gobernanza Pública, Dirección de Defensoría de la Mujer, Dirección de Asuntos Laborales, Dirección de Admisibilidad y atención inmediata, Dirección de Despacho, Dirección de Estudios Económicos y Desarrollo, Dirección de la Niñez, Adolescencia y Juventud, Dirección de Instituto de Educación en Derechos Humanos y Dirección de Regionales.

La tabla 2 muestra el formato de salida para el índice de medición de competencias de la gestión gerencial del personal director de la DHR, según variable, dimensión e indicador. Por su parte, la tabla 3 presenta el formato de salida para el índice según variable y dimensión. En ambos casos se incluye el índice general. En total se tendrían dos tablas de salida por cada dirección de Defensa, lo que permitirá cotejar resultados en los diferentes niveles en que se procesa la información. Los datos en estas tablas aparecen con valor de cero, dado que el instrumento para recolectar la información se aplicará en la prueba piloto.

Table 2. Formato de salida para el índice de medición de competencias de la gestión gerencial del personal director de la Defensoría de los Habitantes de la República

Fuente: Elaboración propia.

Table 3. Formato de salida del Índice de medición de competencias de la gestión gerencial del personal director de la Defensoría de los Habitantes de la República

Fuente: Elaboración propia.

CONCLUSIONES

Las conclusiones del artículo reflejan que el diseño del índice propuesto aborda de manera efectiva las preguntas clave relacionadas con las competencias gerenciales de los directores de la Defensoría de los Habitantes de la República, según se plantearon en la introducción de este artículo. Este índice proporciona respuestas sobre las competencias esenciales para liderar con eficacia el personal en la defensa de los derechos e intereses de la población, además de ofrecer una base sólida para la definición e implementación de estas competencias en el rol del director. Asimismo, propone indicadores y variables específicos para medir y evaluar estas habilidades gerenciales.

Sin embargo, es importante señalar que la investigación aún está en una fase inicial, con el índice pendiente de su implementación en una prueba piloto para depurarlo. Las limitaciones del estudio se centran principalmente en la falta de aplicación del instrumento en un contexto real, lo que podría limitar su validez y fiabilidad. Como líneas futuras, se sugiere la necesidad de una muestra más representativa, como también una evaluación longitudinal y la consideración de otros métodos de evaluación. Estos pasos ayudarán a mejorar la robustez y aplicabilidad del índice en la gestión de la Defensoría y podrían ofrecer una dirección clara para futuras investigaciones en el campo de la administración pública.

REFERENCIAS

Batthyány Karina (coord.) y Cabrera Mariana (comp.), “Metodología de la investigación en ciencias sociales: apuntes para un curso inicial”, (Montevideo: Udelar. CSE. 2011), 98, https://hdl.handle.net/20.500.12008/26551

Camacaro María. “Competencias gerenciales para la gestión de empresas manufactureras del Municipio Libertador del estado Mérida-Venezuela”. Actualidad Contable Faces 20, n.o 34 (enero-junio 2017): 5-26. https://biblat.unam.mx/hevila/ActualidadcontableFACES/2017/vol20/no34/1.pdf

Chen Quesada Evelyn, “Generación de un índice de medición de competencias de la gestión educativa de los centros educativos de Costa Rica” (Tesis de Doctorado en Ciencias de la Educación. Universidad Católica de Costa Rica, agosto, 2022), 396.

Defensoría de los Habitantes de la República, Manual de Clasificación de Puestos de la Defensoría de los Habitantes, acuerdo N° 013-DH del 12 de Julio de 1993, Diario La Gaceta N° 162 del 25 de agosto de 1993.

Hernández-Sampieri Roberto y Christian Paulina Mendoza Torres, Metodología de la Investigación (McGraw-Hill, 2018): 714.

Instituto Internacional de Planeamiento de la Educación (IIPE)-UNESCO, “Desafíos de la Educación. (Buenos Aires, Argentina, 2000). https://unesdoc.unesco.org/ark:/48223/pf0000159155/PDF/159155spa.pdf.

Ministerio de Planificación Nacional y Política Económica, “Guía de indicadores orientadores básicas para su elaboración”, (Costa Rica, 2018): 53, https://planificacionsocialunsj.files.wordpress.com/2020/08/guia-de-indicadores.pdf

Spencer Lyle M. y Spencer Signe M., Competence at Work, Models for Superior Performance, (EE. UU.: John Wiley and Sons, 1993), 384.

Suárez, Isabel T., Varguillas Carmen Siavil y Ronceros Morales Cristhian, “Técnicas e instrumentos de investigación. Diseño y validación desde la perspectiva cuantitativa”, (Venezuela, 2022), https://doi.org/10.46498/upelipb.lib.0013

Villagra Villanueva, José Antonio. Indicadores de gestión. Un enfoque práctico. México: Cengaje Learning, 2016.

NOTAS

1. Según se establece en el Manual de Clasificación de Puestos de la Defensoría de los Habitantes (Acuerdo N° 13-DH del 16 de julio de 1993 y sus reformas).

2. María Camacaro, “Competencias gerenciales para la gestión de empresas manufactureras del Municipio Libertador del estado Mérida-Venezuela”. Actualidad Contable Faces 20, n.o 34 (enero-junio, 2017): 5-26.

3. Camacaro, “Competencias…”, 26.

4. Lyle M. Spencer Jr., Signe M. Spencer. Competence at Work, Models for Superior Performance, (EE. UU.: John Wiley and Sons, 1993), 384.

5. Instituto Internacional de Planeamiento de la Educación (IIPE)-UNESCO, “Desafíos de la Educación. (Buenos Aires, Argentina, 2000). https://unesdoc.unesco.org/ark:/48223/pf0000159155/PDF/159155spa.pdf.

6. Defensoría de los Habitantes de la República, Manual de Clasificación de Puestos de la Defensoría de los Habitantes, acuerdo N° 013-DH del 12 de Julio de 1993, Diario La Gaceta N° 162 del 25 de agosto de 1993.

7. Defensoría de los Habitantes de la República, “Manual…”, 34.

8. Defensoría de los Habitantes de la República, “Manual…”, 34.

9. Roberto Hernández-Sampieri y Christian Paulina Mendoza Torres, Metodología de la Investigación (McGraw-Hill, 2018): 714.

10. José Antonio Villagra Villanueva. Indicadores de gestión: un enfoque práctico, (Cengaje Learning, 2016), 47.

11. Karina Batthyány (coord.) y Mariana Cabrera (comp.), “Metodología de la investigación en ciencias sociales: apuntes para un curso inicial”, (Montevideo: Udelar. CSE. 2011), 98, https://hdl.handle.net/20.500.12008/26551

12. Isabel T. Suarez P., Carmen Siavil Varguillas C. y Cristhian Ronceros Morales, Técnicas e instrumentos de investigación. Diseño y validación desde la perspectiva cuantitativa, (Venezuela, 2022), https://doi.org/10.46498/upelipb.lib.0013

13. José Antonio Villagra Villanueva. Indicadores de …, 72.

14. IIPE-UNESCO, Desafíos de la Educación…, 51.

15. Evelyn Chen Quesada, “Generación de un índice de medición de competencias de la gestión educativa de los centros educativos de Costa Rica” (Tesis de Doctorado en Ciencias de la Educación. Universidad Católica de Costa Rica, agosto, 2022), 396.

16. Ministerio de Planificación Nacional y Política Económica, “Guía de indicadores orientadores básicas para su elaboración”, (Costa Rica, 2018): 53, https://planificacionsocialunsj.files.wordpress.com/2020/08/guia-de-indicadores.pdf

17. El análisis de componentes principales es un método estadístico que permite reducir la dimensionalidad (cantidad) de un conjunto de datos o ítems, eliminando datos o reactivos redundantes, de manera que el conjunto ajustado explique lo mismo que se pretendía con el conjunto de datos o reactivos original.

18. El análisis de componentes principales es un método estadístico que permite reducir la dimensionalidad (cantidad) de un conjunto de datos o ítems, eliminando datos o reactivos redundantes, de manera que el conjunto ajustado explique lo mismo que se pretendía con el conjunto de datos o reactivos original.

19. Isabel T. Suarez P., Carmen Siavil Varguillas C. y Cristhian Ronceros Morales, Técnicas e instrumentos…”, 143.

20. Ministerio de Planificación Nacional y Política Económica, “Guía de indicadores…”, 50.

21. Ministerio de Planificación Nacional y Política Económica, “Guía de indicadores…”, 50.