
Calidad fisicoquímica y microbiológica del agua costera en Nicoya, Costa Rica: comparación de tres playas con diferente impacto turístico y administración
José R.
Montiel-Mora1
&
Eddy Gómez-Ramirez2, 3![]()
1. Universidad de Costa Rica, Instituto de Investigaciones en Salud, San José, Costa Rica; jose.montielmora@ucr.ac.cr,
2. Universidad de Costa Rica, Centro de Investigación en Ciencias del Mar y Limnología, San José, Costa Rica.
3. Universidad de Costa Rica, Escuela de Química, San José, Costa Rica; eddy.gomez@ucr.ac.cr
Recibido 10-V-2023 ● Corregido 27-VI-2023 ● Aceptado 20-VII-2023
DOI: https://doi.org/10.22458/urj.v15i2.4763
|
ABSTRACT. “Physicochemical and microbiological quality of coastal water in Nicoya, Costa Rica: comparison of three beaches with different tourism impact and administration”. Introduction: Socioeconomic growth has caused pressure on marine ecosystems, and there is little information that can be used for the management of beaches in Nicoya, Costa Rica. Objective: To determine the physicochemical and microbiological quality of marine-coastal water in Nicoya, Costa Rica. Methods: In October 2021, and May and June 2022, we used standard methods to assess physicochemical and microbiological water conditions, in three beaches with different administrations and number of tourists. Results: Water temperature ranged between 26,1°C to 31,2°C, salinity between 22 to 31ups, dissolved oxygen from 3,6 to 7,3mg/L, and total suspended hydrocarbon values were below the detection limit. Higher fecal contamination was found in the rainy season, with maximum values of 3,5x103 NMP/100mL fecal coliforms, 1,1x103 NMP/100mL Escherichia coli and 2,4x103 NMP/100mL Enteroccocus faecalis. Conclusion: While fecal contamination was high during the rainy season, physicochemical parameters were acceptable in the three beaches.
Keywords: Pollution, Integrated Coastal Management, Fecal Indicator Bacteria, Indicators. |
RESUMEN. Introducción: El crecimiento socioeconómico ha causado presión sobre los ecosistemas marinos, y existe poca información que pueda ser utilizada para el manejo de playas en Nicoya, Costa Rica. Objetivo: Determinar la calidad fisicoquímica y microbiológica del agua marino-costera en Nicoya, Costa Rica. Métodos: En octubre de 2021, y mayo y junio de 2022, usamos métodos estándar para evaluar las condiciones fisicoquímicas y microbiológicas del agua, en tres playas con diferentes administraciones y número de turistas. Resultados: La temperatura del agua osciló entre 26,1°C y 31,2°C, la salinidad entre 22 y 31ups, el oxígeno disuelto entre 3,6 y 7,3mg/L y los valores de hidrocarburos totales suspendidos estuvieron por debajo del límite de detección. La mayor contaminación fecal se encontró en época de lluvias, con valores máximos de 3,5x103 NMP/100mL coliformes fecales, 1,1x103 NMP/100mL Escherichia coli y 2,4x103 NMP/100mL Enteroccocus faecalis. Conclusión: Si bien la contaminación fecal fue alta durante la época de lluvias, los parámetros fisicoquímicos fueron aceptables en las tres playas.
Palabras clave: Contaminación, Gestión Integrada Costera, Bacterias Indicadoras Fecales, Indicadores. |
Las playas son espacios socio-ecológicos donde se llevan a cabo actividades turísticas, portuarias, pesqueras, de investigación, residenciales, educacionales, entre otras (Sardá et al., 2012; Yepes, 2004). Además, brindan beneficios a la sociedad, como protección contra la erosión e inundaciones, control biológico, y provisión de valores recreativos y culturales (Lara-Lara et al., 2008). Sin embargo, enfrentan una alta presión humana debido al creciente desarrollo socioeconómico y turístico de los últimos años (Barbosa de Araújo & Ferreira, 2008; Brown & McLachlan, 2006; Roca & Villares, 2008). Entre las principales afectaciones están la contaminación costera y sus consecuencias, como la eutrofización y la hipoxia, que han degradado la calidad de las aguas marinas, lo cual afecta el funcionamiento del ecosistema (Badilla-Aguilar & Mora, 2019). Las precipitaciones, la escorrentía superficial, los efluentes de agua dulce y la incursión de las mareas también generan un deterioro en la calidad del agua (Panseriya et al., 2021).
Frente a este panorama, se han realizado diversos estudios enfocados en el análisis de la calidad de agua marina; en ellos se determina si el agua de las playas es adecuada para los diferentes usos que se le da (Nguyen & Sevando, 2019; Vivas-Aguas & Navarrete-Ramírez, 2014). Para ello, se toma en cuenta el uso dado, la ocurrencia de procesos naturales, y las actividades antropogénicas cercanas (Vivas-Aguas & Navarrete-Ramírez, 2014). La mayoría de estos estudios se basa en la determinación de variables fisicoquímicas como oxígeno disuelto (OD), temperatura, turbidez, salinidad; determinación de las concentraciones de nitrato y fosfato, cantidad de sólidos suspendidos totales (SST), demanda bioquímica de oxígeno (DBO), presencia de hidrocarburos derivados del petróleo o de elementos tóxicos, al igual que de variables microbiológicas, como coliformes fecales (CF), Escherichia coli (E. coli) y Enteroccocus faecalis (E. faecalis) (Nguyen & Sevando, 2019; Samsudin & Azid, 2018; Tanjung et al., 2019; Vivas-Aguas & Navarrete-Ramírez, 2014).
En Latinoamérica, se han realizado estudios que han determinado la calidad del agua marina de las costas (Acevedo, 2017; Hernández-Terrones et al., 2015; Sánchez et al., 2019; Tosic et al., 2019; Trujillo-López & Guerrero-Padilla, 2015). En ellos se midieron algunos parámetros fisicoquímicos y microbiológicos mencionados para calificar la calidad del agua marina. En Costa Rica, también se han llevado a cabo estudios sobre contaminación y calidad del agua en playas como Isla Uvita, Puntarenas y Jacó (Acuña-González et al., 2004; Alfaro-Sandí et al., 2021; Badilla-Aguilar & Mora-Alvarado, 2019; Laureano-Rosario et al., 2021; Samper-Villarreal et al., 2021).
La Península de Nicoya, en el Pacífico Norte de Costa Rica, abarca 130km de largo y 40km de ancho, con alrededor de cuarenta playas en una extensión costera de casi 232km (Bergoeing, 2007). Es una región muy visitada y experimenta un rápido crecimiento turístico (Gómez, 2019). Si bien el impacto antropogénico a los ecosistemas marino-costeros puede ser significativo, son pocos los estudios que relacionan los parámetros fisicoquímicos y microbiológicos en las playas de Guanacaste con ese impacto (Saravia-Arguedas et al., 2021; Vargas-Zamora et al., 2018).
Las playas Sámara, Carrillo y Camaronal, ubicadas en la península de Nicoya, contrastan entre sí en términos de su dinámica turística a pesar de su cercanía. Difieren en la cantidad de visitantes, los servicios turísticos y los poblados cercanos; incluso, las instituciones responsables de su gestión varían: las municipalidades se encargan de Sámara y Carrillo, mientras que el Ministerio de Ambiente y Energía es responsable de Camaronal. Sin embargo, todas estas playas carecen de estudios exhaustivos. Por consiguiente, se planteó el objetivo de determinar la calidad de las aguas marino-costeras mediante mediciones de parámetros fisicoquímicos y microbiológicos de las tres playas en mención.
MATERIALES Y MÉTODOS
Descripción del área de estudio: El presente estudio lo llevamos a cabo en tres campañas de muestreo, en octubre, 2021 y mayo y junio, 2022, en tres playas del Pacífico Norte de Costa Rica: Sámara, Carrillo y Camaronal. Los sitios de muestreo se señalan en la Fig. 1.

Fig. 1. Área de estudio y puntos de muestreo
Muestreo: Realizamos mediciones in situ y ex situ. Para las mediciones in situ, utilizamos una sonda multiparamétrica YSI®-85 para obtener los valores de temperatura (°C), salinidad (ups) y OD (mg/L). En cuanto a las mediciones ex situ, recolectamos muestras de agua marina por triplicado y de forma directa a la altura de la cintura cuando empezaba a bajar la marea. Usamos botellas de 1L de polietileno de alta densidad. Mantuvimos las muestras refrigeradas a una temperatura promedio de 4°C. En el laboratorio determinamos las concentraciones de nutrimentos (silicato, nitrato, nitrito, amonio y fosfato, todos en µmol/L); SST (mg/L), la clorofila-α (mg/m3), DBO5 (mgO2/L) y los hidrocarburos de petróleo disueltos o dispersos (µg/L). Cuantificamos los nutrimentos y la clorofila-α mediante espectrofotometría visible, el SST mediante gravimetría, el DBO mediante incubación en condiciones controladas de temperatura y los hidrocarburos mediante espectrofluorometría (Acuña-González et al., 2004). Realizamos los análisis según los protocolos del Centro de Investigación en Ciencias del Mar y Limnología (CIMAR) de la Universidad de Costa Rica (Parsons et al., 1984; Strickland & Parsons, 1972).
Por último, recolectamos muestras por triplicado para la determinación de CF, y la densidad de E. coli y E. faecalis. Tomamos las muestras el último día de cada campaña y las almacenamos en bolsas esterilizadas a una temperatura no superior a 4°C. Utilizamos la técnica del número más probable (NMP/100 mL). Para la CF y E. coli seguimos el método 9221, y para E. faecalis utilizamos el método 9230B de los Standard Methods for the Examination of Water and Wastewater (Baird & Bridgewater, 2017). Interpretamos los resultados utilizando la Tabla del NMP, y los límites de detección del método son <1,8 NMP/100 mL - >1 600 000 NMP/100 mL.
Análisis estadístico: Calculamos estadísticas descriptivas de cada una de las variables, incluyendo promedios, desviaciones estándar, coeficientes de variación, máximos y mínimos para cada playa. Para evaluar las diferencias entre las campañas de monitoreo de cada playa, aplicamos el análisis de varianza no paramétrico de Kruskal-Wallis. Trabajamos con datos censurados en el caso del fosfato y los parámetros microbiológicos cuando los resultados estaban por debajo del límite de detección, considerando la mitad del valor mínimo detectable. Para identificar las variables con mayor variabilidad en las tres campañas de muestreo, realizamos un análisis de componentes principales (PCA) de correlación entre los parámetros fisicoquímicos y microbiológicos utilizando los valores estandarizados de cada campaña. Para ambos análisis utilizamos el software estadístico XLSTAT (Lumivero, 2023).
RESULTADOS
La temperatura superficial del agua en las tres playas varió entre 26,1°C y 31,2°C, con un promedio de 29,1°C y una desviación estándar relativa del 5,1%. Según el análisis estadístico, se encontraron diferencias significativas en Sámara y Camaronal entre las tres campañas de monitoreo (n=9, p<0,05); Carrillo no reportó diferencias significativas (n=9, p=0,06). Con relación a los niveles de salinidad, se obtuvieron promedios de 29ups y un coeficiente de variación del 12%, con diferencias significativas entre las campañas de monitoreo en Sámara y Camaronal (n=9, p<0,05). La primera campaña registró los valores más bajos, fluctuando entre 16 y 28ups (Tabla 1).
La concentración OD, en los sitios de muestreo, osciló entre 3,5 y 7,2mg/L, con una desviación relativa de 19,2%. No se mostraron diferencias significativas en los muestreos realizados para cada playa (n=9, p>0,05). Sámara presentó las concentraciones más altas, en un rango de 4,5 a 7,3mg/L, seguida de Camaronal y Carrillo. En cuanto al DBO, la mayoría de los datos obtenidos se situaron por debajo del límite detectable, excepto el punto 1 de Playa Sámara, que registró el valor más alto con 14mgO2/L.
La clorofila-α, en la primera campaña, mostró las concentraciones más altas, en un rango de 6,1 a 8,5mg/m3, mientras que en la segunda registró los valores más bajos, oscilando entre 0,2 a 1,9mg/m3. Estadísticamente, se encontraron diferencias significativas entre los monitoreos en cada playa (n=9, p<0,05). Por otro lado, los SST, en cada playa, mostraron las concentraciones más altas en el segundo muestreo, seguidas de la tercera y primera campaña respectivamente. Estas diferencias entre cada campaña fueron significativas con un p<0,05 (n=9). El promedio de este parámetro fue de 30,9mg/L, con una desviación estándar relativa del 57,9%. Los hidrocarburos de petróleo disueltos o dispersos presentaron concentraciones por debajo del límite de detección (0,02mg/L).
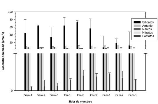
En relación con los nutrimentos, el amonio, los silicatos y nitratos no reportaron diferencias estadísticamente significativas entre cada monitoreo para cada una de las playas (n=9, p>0,05). Sin embargo, el nitrito presentó diferencias significativas en Sámara y Camaronal (n=9, p<0,05), donde el primer monitoreo reportó las concentraciones más altas, seguido de la tercera y segunda campaña. Los fosfatos solamente presentaron diferencias significativas en Sámara (n=9, p<0,05). Además, el nutriente con las mayores concentraciones fue el silicato, con un rango entre 5,6 y 96,6µmol/L y un coeficiente de variación de 75,3%. Por su parte, los fosfatos presentaron las concentraciones más bajas, con valores por debajo del límite de detección (0,06μmol/L) y una media de 0,6µmol/L. En la Fig. 2 se pueden observar los promedios globales obtenidos por sitio en cada una de las playas.
TABLA 1
Estadística descriptiva de los resultados de los parámetros evaluados en las tres playas en estudio. Los resultados crudos se encuentran en la Tabla S1
|
|
T (°C) |
Salinidad (ups) |
DBO (mgO2/L) |
OD (mg/L) |
SST (mg/L) |
Clorofila-α (mg/m3) |
Silicatos (µmol/L) |
Amonio (µmol/L) |
Nitritos (µmol/L) |
Nitratos (µmol/L) |
Fosfatos (µmol/L) |
CF (NMP/100mL) |
E. coli (NMP/100mL) |
E. faecalis (NMP/100mL) |
|
Sámara |
||||||||||||||
|
Promedio |
29.6 |
27 |
2 |
5.5 |
38.2 |
3.5 |
38.4 |
10.1 |
4.6 |
5.3 |
0.6 |
5,6x102 |
2,7x102 |
3,7x102 |
|
Desviación estándar |
1.3 |
5 |
5 |
0.9 |
18.1 |
2.3 |
33.6 |
1.4 |
2.1 |
1.0 |
0.4 |
1,2x103 |
4,4x102 |
7,8 x102 |
|
Coeficiente de variación |
4.3% |
17% |
299% |
15.9% |
47.5% |
65.3% |
87.4% |
13.5% |
44.6% |
19.3% |
60.3% |
207,5% |
163,1% |
210,6% |
|
Min |
27.9 |
16 |
0 |
4.5 |
12.4 |
0.4 |
5.6 |
7.4 |
3.0 |
3.7 |
nd |
nd |
nd |
nd |
|
Max |
31.2 |
30 |
14 |
7.3 |
60.4 |
6.3 |
91.9 |
11.6 |
7.9 |
6.9 |
1.3 |
3,5x103 |
1,1x103 |
2,4x103 |
|
Carrillo |
||||||||||||||
|
Promedio |
29.1 |
29 |
0.3 |
4.2 |
21.4 |
3.3 |
34.1 |
9.3 |
4.5 |
5.4 |
0.6 |
1,9x102 |
1,2x102 |
3,9x102 |
|
Desviación estándar |
1.8 |
2 |
0.5 |
0.5 |
9.3 |
3.5 |
25.3 |
1.2 |
2.1 |
0.6 |
0.3 |
3,2x102 |
3,0x102 |
7,2x102 |
|
Coeficiente de variación |
6.1% |
8% |
152% |
12.6% |
43.7 |
103.9% |
74.2% |
13.1% |
46.4% |
10.5% |
50.8% |
166,7% |
246,7% |
186,4% |
|
Min |
26.6 |
25 |
0 |
3.5 |
8.9 |
0.3 |
9.99 |
7.5 |
2.7 |
4.5 |
nd |
nd |
nd |
nd |
|
Max |
31.0 |
32 |
1 |
4.9 |
33.1 |
8.3 |
84.7 |
10.9 |
7.8 |
6.1 |
0.9 |
7,9x102 |
9,2x102 |
1,7x103 |
|
Camaronal |
||||||||||||||
|
Promedio |
28.5 |
30 |
0.2 |
4.4 |
33.1 |
3.4 |
52.3 |
9.6 |
4.6 |
5.2 |
0.6 |
2,5x102 |
1,3x102 |
3,3x102 |
|
Desviación estándar |
1.4 |
3 |
0.4 |
0.7 |
21.4 |
3.4 |
35.0 |
2.1 |
1.8 |
1.1 |
0.3 |
3,2x102 |
1,7x102 |
7,8x102 |
|
Coeficiente de variación |
4.9% |
10% |
199% |
16.2% |
64.6 |
101.5% |
66.8% |
22.2% |
38.7% |
21.8% |
56.6% |
131,3% |
135,1% |
236,1% |
|
Min |
26.1 |
25 |
0 |
3.6 |
8.9 |
0.2 |
8.5 |
6.5 |
2.8 |
3.3 |
0.2 |
nd |
nd |
nd |
|
Max |
30.0 |
33 |
1 |
5.4 |
69.8 |
8.5 |
96.1 |
11.9 |
7.3 |
6.9 |
1.1 |
7,9x102 |
4,6x102 |
2,4x103 |
Número de muestras por playa = 9
nd: No detectado (Límite de detección: 0,06 µmol/L para fosfatos; 1,8 NMP/100 mL para los parámetros microbiológicos).

Fig. 2. Concentración media de nutrimentos para cada punto de muestreo de las playas en estudio
Los CF oscilaron por debajo de los límites de detección hasta los 3,5x103 NMP/100mL, con una media de 3,3 x102 y una desviación relativa de 213,3%. En cuanto a las bacterias, el 67% y 74% de las muestras resultaron positivas para E. coli y E. faecalis respectivamente, con un promedio de 1,7x102 para E. coli y 3,6 x102. En la Fig. 3 se reportan las concentraciones promedio por cada sitio de muestreo de cada una de las playas. Los valores más bajos para los tres parámetros se reportaron en el segundo muestreo, siendo Playa Carrillo la playa que presentó todos sus puntos por debajo del límite de detección (1,8 NMP/100mL); mientras que las concentraciones más altas se dieron en el primer muestreo. Asimismo, estos parámetros mostraron diferencias estadísticamente significativas únicamente en Sámara, según cada campaña de muestreo (n=9, p<0,05).
Análisis de Componentes Principales (PCA): El PCA extrajo cinco factores con valores propios >1, lo que representa el 97,73% de la varianza total (Fig. 4). El primer componente principal representa el 56,03% con carga alta hacia la salinidad (0,89), clorofila-α (0,83), DBO (0,54), SST (0,59), amonio (0,51), nitritos (0,95), fosfatos (0,86) CF (0,59), E. coli (0,78) y E. faecalis (0,95); el segundo factor (18,23%) con carga positiva a temperatura (0,87) y silicatos (0,73); el cuarto factor con una carga positiva alta únicamente en OD (0,73), y el quinto en nitratos (0,42).
En la Fig. 4 se observa un gradiente ambiental en el eje PC-1 que indica valores negativos; este está influenciado por el aumento en las variables de nitratos, SST, fosfatos, salinidad y amonio. En este lado se encuentran las tres playas para el primer y segundo monitoreo. Por otro lado, las variables microbiológicas, la temperatura, OD, DBO y otras fisicoquímicas presentaron una correlación negativa con las variables anteriormente mencionadas, mostrando valores máximos en el lado positivo del PC-1. Este patrón se complementa con el PC-2, donde las variables de fosfatos, salinidad, amonio, CF, E. coli y clorofila aumentan hacia valores negativos, mientras que E. faecalis, nitritos, DBO, SST, temperatura y nitratos incrementan hacia valores positivos del PC-2. Estos patrones coinciden con las tres playas de la primera y segunda campaña de muestreo, siendo la gira 2 la que ubica las tres playas en los valores negativos del PC-2.

Fig. 3. Concentración promedio de los parámetros microbiológicos para cada punto de muestreo de las playas en estudio.

Fig. 4. Análisis de componentes principales (PCA) sobre las variables de calidad del agua en Sámara, Carrillo y Camaronal, Guanacaste, Costa Rica. Los números indican el orden según la campaña de monitoreo 1. En la Tabla S2 se encuentran los datos asociados al PCA.
DISCUSIÓN
La temperatura mostró variabilidad entre los muestreos en cada playa, con temperaturas más altas en la segunda campaña de monitoreo en Sámara y Camaronal. Estas diferencias entre campañas pueden atribuirse a factores como la estacionalidad, las escorrentías y las precipitaciones (Bermúdez et al., 2017; Rathoure, 2018). Sin embargo, los datos obtenidos son consistentes con otros estudios del Pacífico norte, que informan un promedio de temperatura de 28,7 ± 0,6°C (Vargas-Zamora et al., 2018). En cuanto a la salinidad, se observaron diferencias significativas entre las campañas de monitoreo, siendo la primera campaña, realizada en octubre (uno de los meses más lluviosos en Costa Rica (Instituto Meteorológico Nacional [IMN], 2008), la que presentó menor salinidad. Estas variaciones en la salinidad entre campañas pueden estar relacionadas con el aumento de las escorrentías, una tasa de precipitación más alta y el aporte de agua dulce continental (Saravia-Arguedas et al., 2021).
Los niveles de OD indican promedios que pueden descartar eventos de hipoxia y anoxia a nivel superficial, lo cual concuerda con los bajos valores de DBO medidos. Esto implica una baja demanda de oxígeno por parte de los procesos de degradación de la materia orgánica, lo que sugiere una buena calidad del agua marino-costera (Panseriya et al., 2021; Segura-Noguera et al., 2016). En comparación con otros sitios como el Golfo de Kachchh en la India (3,00-11,70mg/L), el Golfo de Papagayo (6,17-7,45mg/L) y Bahía Culebra en Costa Rica (5,16-8,20mg/L), los niveles de oxígeno disuelto en las playas estudiadas son comparables o incluso más bajos (Panseriya et al., 2021; Saravia-Arguedas et al., 2021; Vargas-Zamora et al., 2018).
El contenido de materia orgánica y el oxígeno necesario para degradarla son determinados por el DBO, el cual es utilizado como indicador de contaminación orgánica (Vivas-Aguas & Navarrete-Ramírez, 2014). En general, los niveles de DBO encontrados fueron inferiores a los informados en otros estudios (Roth et al., 2016; Tanahara et al., 2021). Sin embargo, durante la primera campaña en Sámara, se registró un promedio de 5±9mgO2/L, lo cual podría estar relacionado con las altas concentraciones de contaminantes fecales detectadas en esa zona. Este descubrimiento coincide con un estudio llevado a cabo en Cuba, donde también se encontraron altas concentraciones de DBO asociadas a descargas residuales, lo que indica una mala calidad del agua en la playa (Hernández et al., 2021).
Las concentraciones de SST obtenidas en cada playa indican que la calidad del agua costera fue buena durante las fechas de muestreo, ya que valores entre 25mg/L y 75mg/L son representativos de una buena calidad del agua (Garcés-Ordóñez & Vivas-Aguas, 2016). Desde un punto de vista estadístico, el primer monitoreo mostró una mayor variabilidad en comparación con las otras dos campañas. Estos valores podrían estar relacionados con el volumen de precipitación y la influencia de los cuerpos de agua cercanos a la costa, los cuales diluyen la carga de los materiales en suspensión (Bermúdez et al., 2017).
Los nutrimentos en aguas costeras desempeñan un papel crucial en el crecimiento, reproducción y metabolismo de los organismos (Panseriya et al., 2021). Se encontraron concentraciones bajas de fosfato en cada sitio de muestreo, lo cual puede atribuirse a la interacción dinámica entre este nutriente y el fitoplancton, puesto que su concentración puede ser influenciada por las microalgas presentes (Silva & Guzmán, 2006). Estudios previos, como el de Vargas-Zamora et al. (2018), informaron de un patrón similar en otras costas del Pacífico. El comportamiento de los silicatos fue consistente con otros estudios realizados durante la época lluviosa (Morales-Ramírez et al., 2016; Saravia-Arguedas et al., 2021); se observó un aumento en los niveles de este nutriente durante la primera y la última campaña, que corresponden a los meses de mayor precipitación según el IMN (2008). Este incremento se puede atribuir al aporte de agua dulce proveniente de ríos, quebradas y las lluvias que llegan a cada una de las playas, como se ha evidenciado en diferentes estudios (Betancourt et al., 2011; Vargas-Zamora et al., 2018). Es importante destacar que el presente estudio no midió directamente esta contribución.
En relación con los nitritos y nitratos, se encontraron concentraciones superiores a otros estudios realizados en el país (Morales-Ramírez et al., 2016; Saravia-Arguedas et al., 2021; Vargas-Zamora et al., 2018). Esto podría estar asociado a procesos de afloramiento, nitrificación o la presencia de microalgas asociadas al plancton (United States Environmental Protection Agency [USEPA], 2006). No obstante, las concentraciones son bajas en comparación a los hallazgos reportados en otras regiones del planeta, lo cual puede deberse a descargas mínimas de desechos domésticos o industriales en la costa (Anantharaj et al., 2012; Pandit & Fulekar, 2017; Panseriya et al., 2021). Es importante tener en cuenta que en este estudio no se midió directamente estos procesos. En cuanto a las concentraciones de amonio en las playas, se caracterizaron por ser más altas en comparación con otros trabajos, lo que sugiere la posible influencia de factores locales como la descomposición o presencia de materia orgánica en los cuerpos de agua cercanos a las playas (López et al., 2010; Saravia-Arguedas et al., 2021; Vargas-Zamora et al., 2018). Estos factores no fueron determinados en este estudio.
La clorofila-α es un pigmento fotosintético que permite estimar las concentraciones de fitoplancton y la actividad biológica, como los afloramientos de microalgas (Picado et al., 2013). Se observó que las concentraciones más altas de clorofila-α se registraron en octubre, un mes caracterizado por un mayor volumen de lluvias en Costa Rica. Este hallazgo difiere de investigaciones previas, donde se encontró que las concentraciones de clorofila-α suelen ser bajas durante los meses lluviosos, como se observó en los otros dos monitoreos (Guzmán et al., 2014; Saravia-Arguedas et al., 2021). Este resultado inusual puede atribuirse a la presencia del afloramiento de marea roja presente durante la primera campaña de monitoreo (Rodríguez, 2020). Esto concuerda que concentraciones de clorofila-α superiores a 5,00 µg/L pueden asociarse con afloramientos algales (Bricker et al., 2003).
En el PCA se observan diferencias en las variables microbiológicas entre las distintas campañas de monitoreo, principalmente en la primera, donde se destacaron las concentraciones más elevadas de contaminación fecal, seguido de la segunda y tercera respectivamente. Esta tendencia podría explicarse debido a que ambas campañas se llevaron a cabo durante los meses de mayor precipitación (IMN, 2008). Los resultados obtenidos en este estudio concuerdan con investigaciones previas realizadas en América Latina, que también han encontrado una mayor contaminación fecal durante los meses lluviosos en comparación con los meses de verano (Grey et al., 2014; Moresco et al., 2012; Tosic et al., 2019). Esto puede atribuirse al aumento de las precipitaciones y a la lixiviación por escorrentía urbana, como se menciona en otros estudios (Mora, 2009; Moresco et al., 2012). Por consiguiente, se puede confirmar que Sámara, como la playa más concurrida, presenta una carga de contaminación fecal más elevada en la primera campaña de monitoreo, superando los niveles mínimos recomendados por las autoridades (Mora, 1998).
Los resultados indicaron que Playa Sámara presenta una mayor contaminación. Esto se debe a la alta actividad humana en forma de desarrollo turístico y urbanístico cerca de la costa, condiciones similares a las encontradas en un estudio en la provincia de Puntarenas (Badilla-Aguilar & Mora, 2019). Es importante tener en cuenta que las concentraciones de contaminantes pueden variar en diferentes puntos de muestreo de cada playa según la época, el día y la hora de muestreo, lo que puede afectar los resultados de las variables medidas (Bermúdez et al., 2017).
En conclusión, este estudio proporciona una aproximación de la calidad del agua costera en tres playas con diferentes dinámicas turísticas. Todas presentaron altos niveles de contaminación fecal y una calidad fisicoquímica sin variaciones significativas para los sitios de muestreo en el periodo en el que se desarrolló el estudio. Sin embargo, estos hallazgos destacan la necesidad de realizar más monitoreos para establecer una relación más precisa entre los niveles de contaminación, la estacionalidad y la ubicación geográfica de cada punto de muestreo. A nivel local, es necesario implementar esfuerzos para mejorar la calidad del agua costera mediante la implementación de programas y estrategias de monitoreo, a fin de establecer criterios regulatorios para la calidad del agua marina.
AGRADECIMIENTOS
Agradecemos al Sistema de Estudios de Posgrados (SEP), al Centro de Investigación en Ciencias del Mar y Limnología (CIMAR) y al Instituto de Investigación en Salud (INISA), todos de la Universidad de Costa Rica por el apoyo y aporte a la maestría de Gestión Integrada de Áreas Costeras Tropicales.
ÉTICA, CONFLICTO DE INTERESES Y DECLARACIÓN DE FINANCIAMIENTO
Declaramos haber cumplido con todos los requisitos éticos y legales pertinentes, tanto durante el estudio como en la preparación de este documento; que no hay conflictos de interés de ningún tipo, y que todas las fuentes financieras se detallan plena y claramente en la sección de agradecimientos. Asimismo, estamos de acuerdo con la versión editada final de esta publicación. El respectivo documento legal firmado se encuentra en los archivos de la revista.
La declaración de contribución de cada autor es la siguiente: J.R.M.: Recopilación de información, análisis de datos, procesamiento de muestras y preparación del manuscrito. J.R.M., E.G.R.: Conceptualización, diseño de estudio y aprobación del manuscrito.
REFERENCIAS
Acevedo, R. (2017). Diagnóstico preliminar ambiental de playas de Cartagena de Indias, Caribe colombiano. Teknos Revista Científica, 17(1), 38-46. https://dialnet.unirioja.es/servlet/articulo?codigo=6382719
Acuña-González, J., Vargas-Zamora, J. A., Gómez-Ramírez, E., & García-Céspedes, J. (2004). Hidrocarburos de petróleo, disueltos y dispersos, en cuatro ambientes costeros de Costa Rica. Revista de Biología Tropical, 52(suppl. 2), 43–50. https://goo.by/Zmpgs
Alfaro-Sandí, J., Piedra-Marín, G., Saravia-Arguedas, A. Y., & Piedra-Castro, L. (2021). Evaluación de los parámetros físicos y químicos del agua de mar en los alrededores de la Isla Uvita, Limón, Costa Rica. Revista Tecnología En Marcha, 34(2), 88-95. https://doi.org/10.18845/tm.v34i2.4985
Anantharaj, K., Govindasamy, C., Natanamurugaraj, G., & Jeyachandran, S. (2012). Characteristics of Water Quality in the Palk Strait, Southeast Coast of India. World Journal of Agricultural Sciences, 8(5), 525–528. https://goo.by/fpDq6
Badilla-Aguilar, A., & Mora-Alvarado, D. A. (2019). Análisis de la calidad bacteriológica de dos playas tropicales: relación de indicadores de contaminación fecal entre el agua de mar y las arenas. Revista Tecnología En Marcha, 32(10), 37–45. https://doi.org/10.18845/tm.v32i10.4879
Baird, R., & Bridgewater, L. (2017). Standard methods for the examination of water and wastewater (23rd ed). American Public Health Association.
Barbosa de Araújo, M. C., & Ferreira, M. (2008). Environmental quality indicators for recreational beaches classification. Journal of Coastal Research, 24(6), 1439–1449. https://doi.org/10.2112/06-0901.1
Bergoeing, J. P. (2007). Geomorfología de Costa Rica (2nd ed.). Librería Francesa.
Bermúdez, F., Campos, A., & Lépiz, L. (2017). Herramienta metodológica para la vigilancia de la calidad de agua de mar en playas de uso recreativo de Costa Rica. [Tesis de Licenciatura, Universidad Nacional]. https://goo.by/ABhhG
Betancourt, J. M., Sánchez, J. G., Mejía-Ladino, L. M., & Cantera, J. R. (2011). Calidad de las aguas superficiales de Bahía Málaga, Pacífico Colombiano. Acta biológica Colombiana, 16(2), 175-192. https://revistas.unal.edu.co/index.php/actabiol/article/view/15113/26534
Bricker, S. B., Ferreira, J. G., & Simas, T. (2003). An integrated methodology for assessment of estuarine trophic status. Ecological Modelling, 169(1), 39–60. https://doi.org/10.1016/S0304-3800(03)00199-6
Brown, A. C., & McLachlan, A. (2006). The Ecology of Sandy Shores (2nd ed.). Elsevier.
Garcés-Ordóñez, O., & Vivas-Aguas, L. J. (2016). Diagnóstico y Evaluación de la Calidad de Aguas Marinas y Costeras en el Caribe y Pacífico Colombianos. https://goo.by/xS0Jf
Gómez, A. (2019). La economía informal y el turismo en Costa Rica: Estudio de caso en Guanacaste. Revista Universidad en Diálogo, 9(1), 11-30. https://doi.org/10.15359/udre.9-1.1
Grey, A., Domínguez, V., & Castillero, M. (2014). Determinación de Indicadores Fisicoquímicos y Microbiológicos de en la Bahía de Manzanillo. Revista de I+D Tecnológico, 10(1), 16-27. https://revistas.utp.ac.pa/index.php/id-tecnologico/article/view/10
Guzmán, Á., Zambrano, M. M., Casanova-Rosero, R. F., Selvaraj, J. J., & Martínez, A. (2014). La condición ecológica de la bahía de Tumaco (Pacífico colombiano): evaluación de la calidad del agua y del fitoplancton. Boletín Científico CIOH, 32, 3–16. https://doi.org/10.26640/01200542.32.3_16
Hernández, I., Borroto, D., Castro, M., Caraballo, J., & Falcón, A. (2021). Evaluación de la calidad del agua marina en el Parque Nacional Caguanes, Sancti Spíritus, Cuba. Revista de Investigaciones Marinas, 41(2), 5-17. https://goo.by/E6HNZ
Hernández-Terrones, L. M., Null, K. A., Ortega-Camacho, D., & Paytan, A. (2015). Water quality assessment in the Mexican Caribbean: Impacts on the coastal ecosystem. Continental Shelf Research, 102, 62–72. https://doi.org/10.1016/j.csr.2015.04.015
Instituto Meteorológico Nacional (IMN). (2008). Clima en Costa Rica: Pacífico Norte. https://goo.by/sKtnV
Lara-Lara, R., Arreola, J. A., Calderón, L. E., Camacho, V. F., Espino, G., Escofet A., Espejel, M. I., Guzmán, M., Ladah, L. B., López, M., Meling, E. A., Moreno, P., Reyes, H., Ríos, E., & Zertuche, J. A. (2008). Capítulo 4: Los ecosistemas costeros, insulares y epicontinentales. J. Sarukhán (Ed.). Capital Natural de México, Volumen 1: Conocimiento actual de la biodiversidad (pp. 109-134). CONABIO. https://goo.by/k2jWi
Laureano-Rosario, A. E., Symonds, E. M., González-Fernández, A., Lizano R., O. G., Mora, D., Rivera, P., Badilla-Aguilar, A., Rueda-Roa, D., Otis, D. B., Harwood, V. J., Cairns, M. R., & Muller-Karger, F. E. (2021). The relationship between environmental parameters and microbial water quality at two Costa Rican beaches from 2002 to 2017. Marine Pollution Bulletin, 163, 111957. https://doi.org/10.1016/j.marpolbul.2020.111957
Lumivero. (2023). XLSTAT statistical and data analysis solution. https://www.xlstat.com/es
López, L., Paredes, A., Alcaraz, N., & Gilabert, J. (2010). Análisis de parámetros físicos, químicos y biológicos en las aguas costeras de la región de Murcia. Investigación EUITC, (3), 92–95. https://repositorio.upct.es/handle/10317/2059
Mora, D. A. (2009). Calidad Sanitaria de las Aguas de playa Jacó. Costa Rica 1986-2008. Revista Costarricense de Salud Pública, 18(1), 5–9. https://www.scielo.sa.cr/pdf/rcsp/v18n1/a02v18n1.pdf
Mora, D. (1998). Actualización de los criterios microbiológicos para evaluar la calidad del agua en sus diferentes usos Período 1998 - Costa Rica. Revista Costarricense de Salud Pública, 7(13), 1409-1429. https://goo.by/z0lx0
Morales-Ramírez, Á., Acuña-González, J., Lizano, O., Alfaro, E., & Gómez, E. (2016). Rasgos oceanográficos en el Golfo Dulce, Pacífico de Costa Rica: una revisión para la toma de decisiones en conservación marina. Revista de Biología Tropical, 63(S1), 131–160. https://doi.org/10.15517/rbt.v63i1.23100
Moresco, V., Viancelli, A., Nascimento, M. A., Souza, D. S. M., Ramos, A. P. D., Garcia, L. A. T., Simões, C. M. O., & Barardi, C. R. M. (2012). Microbiological and physicochemical analysis of the coastal waters of southern Brazil. Marine Pollution Bulletin, 64(1), 40–48. https://doi.org/10.1016/j.marpolbul.2011.10.026
Nguyen, N., & Sevando, M. (2019). Assessing coastal water quality through an overall index. Polish Journal of Environmental Studies, 28(4), 2321–2330. https://doi.org/10.15244/pjoes/90836
Pandit, P. R., & Fulekar, M. H. (2017). Quality Characterization of Coastal Water in Gujarat Coast, India. IOSR Journal of Biotechnology and Biochemistry (IOSR-JBB), 3(4), 8–15. https://goo.by/o3epP
Panseriya, H. Z., Gosai, H. B., Vala, A. K., Gavali, D. J., & Dave, B. P. (2021). Assessment of surface water of Gulf of Kachchh, west coast of India: A chemometric approach. Marine Pollution Bulletin, 170, 112589. https://doi.org/10.1016/j.marpolbul.2021.112589
Parsons, T., Maita, Y., & Lalli, C. (1984). A Manual of Chemical & Biological Methods for Seawater Analysis. Elsevier. https://doi.org/10.1016/C2009-0-07774-5
Picado, A., Álvarez, I., Vaz, N., & Dias, J. M. (2013). Chlorophyll concentration along the northwestern coast of the Iberian Peninsula vs. atmosphere-ocean-land conditions. Journal of Coastal Research, 165(sp2), 2047–2052. https://doi.org/10.2112/SI65-346.1
Rathoure, A. (2018). Marine biodiversity of Gulf of Kutch located in North-eastern Arabian Sea. International International Journal of Avian & Wildlife Biology, 3(4), 312-318. https://doi.org/10.15406/ijawb.2018.03.00108
Roca, E., & Villares, M. (2008). Public perceptions for evaluating beach quality in urban and semi-natural environments. Ocean & Coastal Management, 51(4), 314–329. https://doi.org/10.1016/j.ocecoaman.2007.09.001
Rodríguez, I. (2020, Septiembre 26). Senasa levanta veda para la extracción y comercialización de moluscos en la costa pacífica. La Nación. https://goo.by/87QZk
Roth, F., Lessa, G. C., Wild, C., Kikuchi, R. K. P., & Naumann, M. S. (2016). Impacts of a high-discharge submarine sewage outfall on water quality in the coastal zone of Salvador (Bahia, Brazil). Marine Pollution Bulletin, 106(1–2), 43–48. https://doi.org/10.1016/j.marpolbul.2016.03.048
Samper-Villarreal, J., Sagot-Valverde, J. G., Gómez-Ramírez, E. H., & Cortés, J. (2021). Water Quality as a Potential Factor Influencing Seagrass Change Over Time at Cahuita National Park, Costa Rica. Caribbean Journal of Science, 51(1), 72-85. https://doi.org/10.18475/cjos.v51i1.a9
Samsudin, M. S., & Azid, A. (2018). Assessment of Marine Water Quality Index in Mangrove Estuarine: Case study in Setiu River Estuary. Journal CleanWAS, 2(2), 16–18. https://doi.org/10.26480/jcleanwas.02.2018.16.18
Sánchez, H., Bolívar-Anillo, H. J., Soto-Varela, Z. E., Aranguren, Y., Pichón, C., Villate, D. A., & Anfuso, G. (2019). Microbiological water quality and sources of contamination along the coast of the Department of Atlántico (Caribbean Sea of Colombia). Preliminary results. Marine Pollution Bulletin, 142, 303–308. https://doi.org/10.1016/j.marpolbul.2019.03.054
Saravia-Arguedas, A. Y., Vega-Bolaños, H., Vargas-Hernández, J. M., Suárez-Serrano, A., Sierra-Sierra, L., Tisseaux-Navarro, A., Cambronero-Solano, S., & Lugioyo-Gallardo, G. M. (2021). Surface-Water Quality of the Gulf of Papagayo, North Pacific, Costa Rica. Water, 13(17), 2324. https://doi.org/10.3390/w13172324
Sardá, R., Ariza, E., Jiménez, J. A., Valdemoro, H., Villares, M., Roca, E., Pintó, J., Martí, C., Fraguell, R., Ballester, R., & Fluviá, M. (2012). El índice de calidad de playas (BQI). R. Sardá, J. Pintó & J. F. Valls (Coord.), Hacia un nuevo modelo integral de gestión de playas (pp. 105-121). Documenta Universitaria. http://lagpweb.udg.edu/mevaplaya2/images/Documents/Libro/indicecalidadplayas.pdf
Segura-Noguera, M., Cruzado, A., & Blasco, D. (2016). The biogeochemistry of nutrients, dissolved oxygen, and chlorophyll a in the Catalan Sea (NW Mediterranean Sea). Scientia Marina, 80(S1), 39–56. https://doi.org/10.3989/scimar.04309.20A
Silva, N., & Guzmán, D. (2006). Condiciones oceanográficas físicas y químicas, entre Boca del Guafo y Fiordo Aysén (crucero CIMAR 7 fiordos). Ciencia y Tecnología del Mar, 29(1), 25-44. https://www.redalyc.org/pdf/624/62429103.pdf
Strickland, J. D. H., & Parsons, T. R. (1972). A Practical Handbook of Seawater Analysis (2nd ed.). Fisheries Research Board of Canada. https://epic.awi.de/id/eprint/39262/1/Strickland-Parsons_1972.pdf
Tanahara, S., Canino-Herrera, S. R., Durazo, R., Félix-Bermúdez, A., Vivanco-Aranda, M., Morales-Estrada, E., & Lugo-Ibarra, K. del C. (2021). Spatial and temporal variations in water quality of Todos Santos Bay, northwestern Baja California, Mexico. Marine Pollution Bulletin, 173(Part B), 113148. https://doi.org/10.1016/j.marpolbul.2021.113148
Tanjung, R., Hamuna, B., & Alianto, A. (2019). Assessment of Water Quality and Pollution Index in Coastal Waters of Mimika, Indonesia. Journal of Ecological Engineering, 20(2), 87–94. https://doi.org/10.12911/22998993/95266
Tosic, M., Restrepo, J. D., Lonin, S., Izquierdo, A., & Martins, F. (2019). Water and sediment quality in Cartagena Bay, Colombia: Seasonal variability and potential impacts of pollution. Estuarine, Coastal and Shelf Science, 216, 187–203. https://doi.org/10.1016/j.ecss.2017.08.013
Trujillo-López, G., & Guerrero-Padilla, A. (2015). Caracterización físico-química y bacteriológica del agua marina en la zona litoral costera de Huanchaco y Huanchaquito, Trujillo, Perú. Revista de Investigación Científica (REBIOL), 35(1), 23–33. https://dialnet.unirioja.es/servlet/articulo?codigo=8143156
United States Environmental Protection Agency (USEPA). (2006). Voluntary Estuary Monitoring Manual Chapter 10: Nutrients-Nitrogen and Phosphorus. https://goo.by/79m2N
Vargas-Zamora, J. A., Acuña-González, J., Sibaja-Cordero, J. A., Gómez-Ramírez, E. H., Agüero-Alfaro, G., & García-Céspedes, J. (2018). Water parameters and primary productivity at four marine embayments of Costa Rica (2000-2002). Revista de Biología Tropical, 66(Suppl. 1), S211-S230. https://doi.org/10.15517/rbt.v66i1.33297
Vivas-Aguas, L. J., & Navarrete-Ramírez, S. M. (2014). Protocolo indicador, Calidad Ambiental de Agua (ICAMPFF). Indicadores de monitoreo biológico del Subsistema de Áreas Marinas Protegidas (SAMP). https://goo.by/GPmTl
Yepes, V. (2004). La gestión de las playas basándose en normas de calidad y medio ambiente. https://goo.by/aOXQH
APÉNDICE
Tabla S1
Concentración media de los parámetros fisicoquímicos y microbiológicos de las aguas marinas costeras de Playa Sámara, Carrillo y Camaronal, Guanacaste.
|
Fecha |
Punto |
Temperatura (°C) |
Salinidad (ups) |
OD (mg/L) |
SST (mg/L) |
DBO (mgO2/L) |
Hidrocarburos disueltos (µg/L) |
Fosfatos (µmol/L) |
Silicatos (µmol/L) |
Amonio (µmol/L) |
Nitritos (µmol/L) |
Nitratos (µmol/L) |
Clorofila-α (mg/m3) |
CF (NMP/100mL) |
E. coli (NMP/100mL) |
E. faecalis (NMP/100mL) |
|
Oct-21 |
Sam-1 |
30,4 |
16 |
4,51 |
22,70 |
14 |
nd |
0,15±0,09 |
24,23±1,97 |
7,40±0,35 |
7,93±0,35 |
5,31±0,41 |
6,12 |
3,5x103 |
9,2x102 |
2,4x103 |
|
Sam-2 |
29,0 |
24 |
5,00 |
22,14 |
0 |
nd |
0,22±0,09 |
22,16±1,98 |
9,50±0,35 |
7,93±0,35 |
4,50±0,39 |
6,21 |
3,5 x102 |
3,5x102 |
3,5x102 |
|
|
Sam-3 |
29,5 |
26 |
5,30 |
12,45 |
0 |
nd |
nd |
85,70±2,75 |
10,10±0,36 |
5,76±0,35 |
5,35±0,38 |
6,32 |
1,1x103 |
1,1x103 |
5,4x102 |
|
|
Car-1 |
30,0 |
26 |
4,68 |
10,82 |
1 |
nd |
nd |
58,37±2,21 |
8,05±0,35 |
7,64±0,35 |
4,67±0,39 |
7,71 |
3,5x102 |
1,3x102 |
1,6x103 |
|
|
Car-2 |
29,3 |
25 |
4,66 |
8,95 |
0 |
nd |
0,20±0,08 |
19,54±1,98 |
8,48±0,35 |
7,79±0,35 |
5,23±0,41 |
8,26 |
1,8x100 |
nd |
Nd |
|
|
Car-3 |
31,0 |
28 |
4,53 |
9,19 |
1 |
nd |
0,31±0,09 |
22,92±1,97 |
7,51±0,35 |
6,34±0,35 |
4,50±0,37 |
7,81 |
9,2x102 |
9,2x102 |
1,7x103 |
|
|
Cam-1 |
29,1 |
25 |
5,28 |
20,00 |
0 |
nd |
0,16±0,09 |
30,02±1,97 |
6,49±0,35 |
5,47±0,36 |
6,50±0,40 |
7,92 |
nd |
nd |
4,5x100 |
|
|
Cam-2 |
29,1 |
27 |
5,12 |
10,82 |
0 |
nd |
0,25±0,09 |
82,42±2,67 |
6,70±0,35 |
7,35±0,35 |
4,69±0,39 |
8,53 |
2,2x100 |
1,1x101 |
3,3x101 |
|
|
Cam-3 |
28,8 |
26 |
5,44 |
8,95 |
1 |
nd |
0,25±0,09 |
80,40±2,62 |
8,10±0,35 |
7,35±0,35 |
4,69±0,39 |
6,54 |
4,6x102 |
4,6x102 |
2,4x103 |
|
|
May-22 |
Sam-1 |
31,1 |
30 |
7,29 |
60,30 |
0 |
nd |
0,66±0,20 |
8,85±1,83 |
11,46±0,48 |
3,14±0,35 |
6,99±0,34 |
1,86 |
2,0x100 |
2,0x100 |
Nd |
|
Sam-2 |
30,7 |
30 |
5,42 |
60,36 |
0 |
nd |
0,76±0,20 |
7,26±1,85 |
10,30±0,47 |
3,02±0,35 |
3,74±0,32 |
0,36 |
nd |
nd |
Nd |
|
|
Sam-3 |
31,2 |
30 |
6,23 |
54,45 |
0 |
nd |
1,31±0,20 |
5,56±1,86 |
9,76±0,46 |
3,02±0,35 |
6,43±0,34 |
0,90 |
nd |
nd |
1,80 |
|
|
Car-1 |
30,6 |
30 |
3,55 |
33,11 |
1 |
nd |
0,95±0,20 |
15,81±1,79 |
9,47±0,46 |
3,69±0,34 |
4,98±0,33 |
0,55 |
nd |
nd |
Nd |
|
|
Car-2 |
30,3 |
30 |
3,78 |
30,78 |
0 |
nd |
0,37±0,21 |
11,11±1,82 |
10,76±0,47 |
2,69±0,35 |
5,42±0,33 |
0,35 |
nd |
nd |
Nd |
|
|
Car-3 |
30,4 |
31 |
4,28 |
26,31 |
0 |
nd |
0,40±0,21 |
9,99±1,82 |
9,34±0,46 |
2,69±0,35 |
5,73±0,33 |
0,93 |
nd |
nd |
Nd |
|
|
Cam-1 |
29,6 |
31 |
3,90 |
61,06 |
0 |
nd |
0,35±0,21 |
8,48±1,84 |
9,63±0,46 |
2,91±0,35 |
5,25±0,33 |
0,20 |
2,0x100 |
2,0x100 |
4,0x100 |
|
|
Cam-2 |
29,8 |
32 |
3,73 |
45,67 |
1 |
nd |
1,07±0,21 |
16,96±1,78 |
11,67±0,48 |
3,58±0,35 |
5,70±0,33 |
0,19 |
nd |
nd |
Nd |
|
|
Cam-3 |
30,0 |
31 |
3,95 |
69,80 |
0 |
nd |
0,66±0,20 |
30,57±1,76 |
9,01±0,46 |
2,80±0,35 |
6,92±0,34 |
0,35 |
2,0x100 |
2,0x100 |
4,0x100 |
|
|
Jun-22 |
Sam-1 |
27,9 |
30 |
5,80 |
25,00 |
0 |
nd |
0,74±0,21 |
38,68±1,79 |
11,46±,48 |
3,69±0,34 |
5,77±0,34 |
2,85 |
2,0x100 |
4,5x100 |
2,2x101 |
|
Sam-2 |
28,2 |
30 |
4,50 |
43,10 |
0 |
nq |
0,54±0,21 |
61,51±2,01 |
9,13±0,46 |
4,14±0,34 |
4,33±0,33 |
4,06 |
2,0x100 |
1,3x101 |
2,7x101 |
|
|
Sam-3 |
28,6 |
28 |
5,55 |
43,07 |
0 |
nd |
0,45±0,21 |
91,97±2,58 |
11,63±0,48 |
3,02±0,35 |
5,64±0,33 |
2,99 |
2,0x100 |
2,3x101 |
1,1x101 |
|
|
Car-1 |
26,7 |
30 |
3,82 |
25,00 |
0 |
nd |
0,93±0,20 |
84,70±2,42 |
10,51±0,47 |
3,25±0,35 |
6,11±0,34 |
1,22 |
2,0x100 |
4,6x101 |
1,3x102 |
|
|
Car-2 |
27,2 |
32 |
4,99 |
25,82 |
0 |
nd |
0,61±0,21 |
36,66±1,78 |
10,96±0,47 |
3,36±0,35 |
6,02±0,34 |
1,51 |
2,0x100 |
nd |
1,3x101 |
|
|
Car-3 |
26,6 |
31 |
3,65 |
22,30 |
0 |
nd |
0,73±0,21 |
48,09±1,86 |
8,93±0,46 |
3,36±0,35 |
5,55±0,33 |
1,73 |
2,0x100 |
2,0x100 |
2,3x101 |
|
|
Cam-1 |
27,7 |
33 |
3,63 |
28,61 |
0 |
nd |
0,81±0,20 |
32,92±1,76 |
11,92±0,48 |
4,14±0,35 |
5,28±0,33 |
1,75 |
2,0x100 |
1,3x102 |
1,7x102 |
|
|
Cam-2 |
26,7 |
31 |
4,29 |
23,65 |
0 |
nd |
0,80±0,20 |
96,13±2,66 |
11,05±0,47 |
3,58±0,34 |
3,32±0,32 |
3,68 |
7,0x102 |
2,1x102 |
2,3x101 |
|
|
Cam-3 |
26,1 |
30 |
4,07 |
29,59 |
0 |
nd |
0,74±0,20 |
92,97±2,59 |
11,46±0,48 |
3,81±0,35 |
4,10±0,33 |
1,22 |
7,9x102 |
3,5x102 |
3,5x102 |
Tabla S2
Análisis de componentes principales (PCA) para los parámetros fisicoquímicos y microbiológicos em el agua costera de Sámara, Carrillo y Camaronal.
|
Variables |
Media |
DE |
F1 |
F2 |
F3 |
F4 |
F5 |
|
Temperatura (ºC) |
29,1 |
1,5 |
0,01 |
0,87 |
0,00 |
0,01 |
0,10 |
|
Salinidad (ups) |
29 |
3 |
0,89 |
0,06 |
0,01 |
0,01 |
0,01 |
|
OD (mg/L) |
4,7 |
0,8 |
0,02 |
0,22 |
0,02 |
0,73 |
0,00 |
|
Clorofila-α (mg/m3) |
3,4 |
3,1 |
0,83 |
0,00 |
0,13 |
0,02 |
0,00 |
|
SST (mg/L) |
30,9 |
17,8 |
0,59 |
0,17 |
0,10 |
0,04 |
0,00 |
|
DBO (mgO2/L) |
1 |
2 |
0,54 |
0,03 |
0,37 |
0,00 |
0,04 |
|
Silicatos (µmol/L) |
41,6 |
24,8 |
0,09 |
0,73 |
0,03 |
0,08 |
0,05 |
|
Amonio (µmol/L) |
9,7 |
1,4 |
0,51 |
0,12 |
0,30 |
0,04 |
0,02 |
|
Nitritos (µmol/L) |
4,6 |
1,9 |
0,95 |
0,00 |
0,03 |
0,00 |
0,00 |
|
Nitratos (µmol/L) |
5,3 |
0,5 |
0,23 |
0,32 |
0,01 |
0,02 |
0,41 |
|
Fosfatos (µmol/L) |
0,5 |
0,3 |
0,86 |
0,01 |
0,03 |
0,04 |
0,00 |
|
CF (NMP/100mL) |
3,3x102 |
5,3x102 |
0,59 |
0,02 |
0,38 |
0,00 |
0,00 |
|
E. coli (NMP/100mL) |
1,7x102 |
2,6x102 |
0,78 |
0,00 |
0,21 |
0,00 |
0,00 |
|
E. faecalis (NMP/100mL) |
3,6x102 |
4,9x102 |
0,95 |
0,01 |
0,01 |
0,00 |
0,00 |
|
Valor propio |
- |
- |
7,84 |
2,55 |
1,65 |
0,98 |
0,66 |
|
Variabilidad (%) |
- |
- |
56,02 |
18,23 |
11,76 |
7,03 |
4,69 |
|
% acumulado |
- |
- |
56,02 |
74,25 |
86,01 |
93,04 |
97,73 |